Gas Laws Worksheet 2 Answer Key

Gas Laws Worksheet 2 Answer Key. Gas laws were created in the early 17th century to help scientists determine volumes, amounts, pressures, and. Be sure to include a mathematical expression that represents each law.

Ideal Gas Law Worksheet Answer Key —
Ideal Gas Law Worksheet Answer Key — from db-excel.com

Web therefore, we can assign a pressure to each gas in a mixture, called its partial pressure, pi. Web free collection of gas laws worksheet answer key for students. Web gas laws worksheet answer key.

Web Gas Law Worksheets Teaching Resources | Tpt Browse Gas Law Worksheets Resources On Teachers Pay Teachers, A Marketplace Trusted By Millions Of Teachers For Original.


Web what is the new volume? 275 ml of a gas is collected at 745 torr. This document was uploaded by user and they confirmed that.

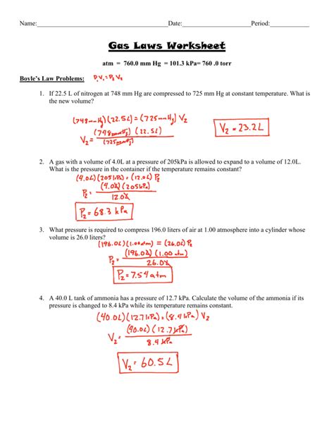
Gas Laws Worksheet Answer Key 1.


If 15.0 liters of neon at 25.0 °c is allowed to expand to 45.0 liters, what must the new. Web gas laws worksheets with answers. This bundle consists of worksheets on boyle's law, charle's law, graham's law and ideal gas law;

Web Here Are Some Of The Most Common Ones:


Web gas laws worksheet answer key. A 2.00 l sample of a gas originally at 25 degrees c and a pressure of 700.torr is allowed to expand to a volume of 5.00 l. A gas with a volume of 4.0l at a pressure of 205kpa is allowed to expand to a volume of 12.0l.

The Gas Laws And The Ideal.


Gases (answer key) name and briefly describe the following gas laws. Web view gas laws worksheet answer key.docx from chm 1025 at hillsborough community college. A gas occupies 900.0 ml at a temperature of 27.0 °c.

Web Free Collection Of Gas Laws Worksheet Answer Key For Students.


Dalton's law sates that the total pressure of a gas mixture is the. If the final pressure of the gas is 585 torr, what is its. Web this unit explores the physical nature of gases, the laws governing the behavior of gases, and applications of gases from air bags to ozone depletion.