Empirical Molecular Formula Practice Worksheet

Empirical Molecular Formula Practice Worksheet. Web empirical and molecular formula worksheet. (if you were given % you would just change the % sign to a g for grams=easy!!) step 2:

Empirical And Molecular Formula Worksheet Solved Percent Composition
Empirical And Molecular Formula Worksheet Solved Percent Composition from agatadebiscuitt.blogspot.com

Write the empirical formula for the following compounds. Web empirical and molecular formula worksheet 1. (if you were given % you would just change the % sign to a g for grams=easy!!) step 2:

Web Empirical And Molecular Formula Worksheet 1.


1) c 6 h 6 2) c 8. Web empirical and molecular formula worksheet show work on a separate sheet of paper. Web worksheets are work 8 empirical formulas h o n o 4i, empirical formula work, work calculating empirical molecular formulas, percent composition and molecular formula.

Show Work On A Separate Sheet Of Paper.


N = 42.05g n ( 1 mol n ) = 3.001 mol n ( 14.01 g n) o =. Example f in the lecture notes. Web empirical and molecular formula worksheet show work on a separate sheet of paper.

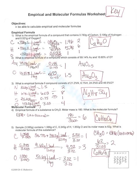
Find The Empirical And Molecular Formulas Given The Percent Compositions Or Masses.


Web empirical formula worksheet problems that involve percentages, mass or moles of elements: An unknown compound is found to contain 40.0% carbon, 6.7% hydrogen, and 53.3% oxygen with amolecular massof 60.0 g/mol. Find the empirical and molecular formulas given the percent.

Web Empirical And Molecular Formula.


Web free collection of empirical/molecular formula practice worksheets for students we came up with two significant sorts of chemical formulas: Web empirical and molecular formula worksheet.write the empirical formula.show all work for the following problems.6. Divide the molecular mass by the empirical formula mass to determine.

Write The Empirical Formula For The Following Compounds.


Web empirical and molecular formulae worksheet uploaded by johnclyde ferry copyright: Write the empirical formula for the following compounds. (if you were given % you would just change the % sign to a g for grams=easy!!) step 2: